關於塗料
塗料,廣義而言,是應用於物體表面的覆蓋物。施加塗層的目的可以是裝飾性或功能性,而塗層本身可以是完全覆蓋基材的全面塗層,抑或是它可以僅覆蓋基材的一部分。大部分的塗料和漆是大多同時具有保護基材和裝飾性的雙重用途的塗料。
塗料一般由樹脂,填料,溶劑,助劑等四部份組成,根據性能要求的不同,會有成份比例的變化。近年來,環保以是全人類集體共識,在這樣的發展下,也因應而生多種綠色環保塗料,如粉體塗料,光固化塗料,水性塗料等等。優禘公司提供單體,固化劑與各種助劑於各式各樣的塗料上,有助於各種功能的提昇。
| 粉體塗料 : | 消光劑(Eutomer B-68) ,架橋劑(Eutomer 552) ,增電劑(Eustab LS-144) ,消泡劑(Benzoin) 。 |
| 光固化塗料 : | 光起始劑(Photoinitiator ),增感劑,增效劑,阻聚劑(Eustab PI-172)。 |
| 水性塗料 : | 固化劑( Eutomer ADH) ,單體(Eutomer DAAM)。 |
| 紫外線吸收劑 : | Eusorb UV-1988,Eusorb UV-201(液態紫外線吸收劑)。 |
| 光安定劑 : | Eustab LS-292,Eustab LS-144。 |
| 增白劑 : | Eutex OB。 |
| 抗藍光劑 : | Eusorb UV-1990, Eusorb UV-1995。 |
| CAS No. | 54553-90-1 |
| Appearance | White to off-white very fine powder |
| Melting Point | 210 ~ 230°C |
| Loss on Drying | 1% max. |
| Chemical Name |
1,2,4,5-Benzenetetracarboxylic acid, compound with 4,5-dihydro-2-phenyl-1H-imidazole (1:1) |
作為純環氧或環氧/聚酯樹脂粉末塗料的超級消光固化劑。
| CAS No. | 119-53-9 |
| Appearance | light yellow crystalloid |
| Melting Point | 132~135°C |
| Loss on Drying | 1.0 % max. |
Benzoin 可以作為粉末塗料的防縮孔(火山口)劑,亦可作為有機合成的中間體。
| CAS No. | 6334-25-4 |
| Appearance | White crystalline powder |
| Melting Point | 120 ~ 126°C |
| Moisture Content | 0.3% max. |
| Hydroxy Equivalent Weight | 80~86 |
Eutomer ® 552 用於外層耐久性粉末塗料的優異固化劑,具有羧基官能聚酯與聚酯/ TGIC體系性能相當。 同時 Eutomer ® 552 也是一種用於粉末塗料的無毒固化劑。
| CAS No | 1071-93-8 |
| Appearance | White crystalline powder |
| Melting Point | 177~184 °C |
| Loss on Drying |
0.5% max. |
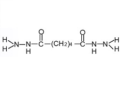
室溫可交聯水性塗料, ADH 與 DAAM 搭配使用。
2. 環氧樹脂固化劑,在高溫下與環氧樹脂反應迅速,可用於粉末塗料。
3. 甲醛清除劑或甲醛捕捉劑使用,反應並阻止甲醛揮發到空氣中。
4. 做為纖維、乳液和合成樹脂的穩定劑和交聯劑。
5. 人造樹脂、人造纖維的改質劑
| CAS No | 2873-97-4 |
| Appearance | White to light yellow flake |
| Melting Point | 54 °C min |
| Loss on Drying |
0.3% max. |
Eutomer® DAAM可用作環氧樹脂的固化劑,也可用作合成樹脂和合成纖維的重整劑。 由於其雙官能性質,它也用於生產聚合物。